Fundación Galileo Galilei - INAF Telescopio Nazionale Galileo 28°45'14.4N 17°53'20.6W 2387.2m A.S.L.

The "Fundación Galileo Galilei - INAF, Fundación Canaria" (FGG) is a Spanish no-profit institution constituted by "INAF", the Italian Institute of Astrophysics.

The FGG's aim is to promote the astrophysical research, as foreseen in the international agreement of May 26, 1979 ("Acuerdo de Cooperación en Materia de Astrofísica, B.O.E. Núm.161, 6 Jul 1979"), by managing and running the Telescopio Nazionale Galileo (TNG), a 3.58m optical/infrared telescope located in the Island of San Miguel de La Palma, together with its scientific, technical and administrative facilities.

TNG At Night M16 Nebula M16 Nebula Messier 104 (Sombrero Galaxy) NGC 6543 (Cat's Eye Nebula) Stephan's Quintet

Latest news

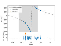
HARPS-N revealed the true nature of the brown dwarf GAIA-6 B

Thanks to data coming from the high resolution spectrograph HARPS-N installed at the Telescopio Nazionale Galileo and the GAIA mission, an international team has characterized a rare substellar object with an exceptionally eccentric orbit. As part of the Global Architecture of Planetary Systems (GAPS) program, a team of researchers led by Istituto Nazionale di Astrofisica (INAF) has confirmed and precisely characterized a new substellar companion orbiting the star HD 128717, located in the constellation Draco. The object, now named Gaia-6 B, is a brown dwarf with a mass about 20 times that of Jupiter. The discovery is particularly notable because Gaia-6 B is moving in an extremely eccentric orbit, one of the most "squashed" ever measured for an object of this mass. The celestial body completes one revolution around its parent star in about 9.37 years.

Infrared Abundance Trends in Open Clusters from GIANO-B Observations at TNG

The high-resolution spectrograph GIANO-B installed at the Telescopio Nazionale Galileo (TNG) and operating in the near-infrared wavelength range, has been used to study the chemical composition of 114 giant stars belonging to 41 open clusters. Open clusters are groups of stars that formed together from the same cloud of gas and dust, making them ideal laboratories for tracing the chemical evolution of the Milky Way.

This study presents a homogeneous infrared open-cluster abundance dataset, delivering measurements for 23 chemical elements.

Evidence of optical pulsation from a redback millisecond pulsar

Recent research, published in the journal Astronomy and Astrophysics Letters and led by Alessandro Papitto (INAF-Osservatorio Astronomico di Roma) and other international collaborators, has unveiled evidence of optical pulsations from the redback millisecond pulsar PSR J2339-0533. This exceptional result was obtained thanks to an intensive observation campaign conducted with the fast single-photon photometer SiFAP2, installed at the Telescopio Nazionale Galileo (TNG). PSR J2339-0533 is the third optical millisecond pulsar ever discovered, all by SiFAP2, and the first not surrounded by an accretion disk.

HARPS-N Data Reduction Update - Decommissioning of DRS32

As of 27th of October 2025, the original HARPS-N Data Reduction System (DRS32), in use since 2012, has been officially decommissioned. This implies that the legacy DRS32 reduction code will not be run anymore on the TNG servers.