Fundación Galileo Galilei - INAF Telescopio Nazionale Galileo 28°45'14.4N 17°53'20.6W 2387.2m A.S.L.

HARPS-N revealed the true nature of the brown dwarf GAIA-6 B

Thanks to data coming from the high resolution spectrograph HARPS-N installed at the Telescopio Nazionale Galileo and the GAIA mission, an international team has characterized a rare substellar object with an exceptionally eccentric orbit.

As part of the Global Architecture of Planetary Systems (GAPS) program, a team of researchers led by Istituto Nazionale di Astrofisica (INAF) has confirmed and precisely characterized a new substellar companion orbiting the star HD 128717, located in the constellation Draco. The object, now named Gaia-6 B, is a brown dwarf with a mass about 20 times that of Jupiter. The discovery is particularly notable because Gaia-6 B is moving in an extremely eccentric orbit, one of the most "squashed" ever measured for an object of this mass. The celestial body completes one revolution around its parent star in about 9.37 years.

The research, available online in the journal Astronomy & Astrophysics, resolved a discrepancy in the DR3 (Data Release 3) catalog of the European Space Agency (ESA) Gaia mission. Gaia's initial orbital solution in fact suggested a much shorter period and a lower eccentricity.

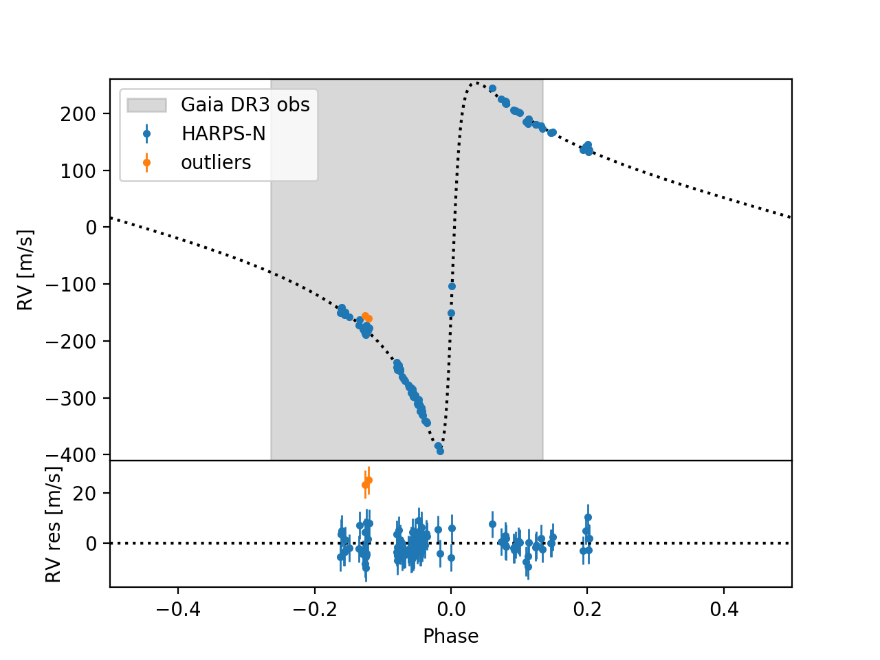
The error was due to a limitation of the astrometric solution. Since Gaia-6 B’s orbital period is much longer than the DR3 observation time, the signal was misread. Thanks to intensive monitoring with HARPS-N, astronomers could correct the error and obtained an accurate picture of the system.

Matteo Pinamonti, researcher at INAF and first author of the paper, explains: “The decisive contribution came from high-cadence monitoring with HARPS-N, which allowed us to precisely measure the very non-circular shape of the orbit. It had not been possible before, because the Gaia DR3 data cover only a fraction of the orbit, generating a degeneracy between the period and the eccentricity and therefore a misleading orbital model”.

Gaia-6 B resides in what scientists call the "transition regime" between gas giant planets and brown dwarfs. Traditionally, the limit between these two classes is set at 13 Jovian masses, the threshold beyond which deuterium fusion can occur. But there are also other criteria based on mechanisms of object formation in the planetary nebula, which however remain an open topic due to the difficulty of establishing the specific formation mechanism from observational data.

Although the mass of Gaia-6 B clearly places it among brown dwarfs, its high metallicity, that is, the presence of a high amount of heavy elements, could suggest a planet-like formation mechanism, namely an accretion of gas around a core of heavy elements.

One aspect that remains shrouded in mystery is the origin of such an extreme orbit. Typically, such high eccentricities are caused by the gravitational influence of other massive companions in the system. However, the team searched for additional tenants in the HD 128717 system without success.

"The origin of Gaia-6 B's high eccentricity remains an unsolved puzzle", concludes Pinamonti, “as no other companions have been identified that may have ‘disturbed’ the object's orbit. It is important, however, because it helps us understand how objects arise at the boundary between giant planets and small stars, a question still unresolved in modern astronomy, and, consequently, to better understand how stars and planetary systems in general, including our own, form”.

The success of this study highlights the importance of the synergy between space astrometry (Gaia) and ground-based spectroscopy (HARPS-N).

Phase-folded best-fit RV one-Keplerian model

Phase-folded best-fit RV one-Keplerian model, corrected for the instrumental offset (top panel) and the RV residuals (bottom panel). The orange dots represent the outliers discussed in the paper, while the grey-shaded area represents the phase coverage of Gaia DR3 observations. See paper for more details.


Link to the paper.

Media INAF press release: https://www.media.inaf.it/2026/01/26/nana-bruna-gaia6b/